11月5日,華人科學家張益唐教授,在山東大學分享了他最新的學術成果,論文主題爲朗道-西格爾零點猜想,該猜想主要解決廣義黎曼猜想中L函數是否存在異常零點的問題,張益唐本人相當自信,預計論文在同行評審通過後,將成爲數學史上又一里程碑的突破,而且會比張益唐在孿生素數猜想上的成就意義更大!
![]()
七大難題
黎曼猜想,是波恩哈德·黎曼在1859年提出的,接近200年的時間裏,黎曼猜想成爲數學家最感興趣,同時也是數學界最重要的問題!在千禧年之際,麻省劍橋市的克雷數學研究所,選出了七個“世界難題”,每個問題都象徵性地懸賞一百萬美元。
![]()
“七大難題”包含NP完全問題、龐加萊猜想、楊-米爾斯存在性和質量間隙等難題,黎曼猜想正是其中之一。在此之前,普遍科學家認爲廣義黎曼假設預計是正確的;截至目前,已經有上千條數學命題是以黎曼猜想的證明作爲前提存在的,那麼黎曼猜想與本次張益唐教授的成果有何關係呢?
![]()
朗道-西格爾零點猜想(Landau-Siegel Zeros Conjecture),是黎曼猜想的某種弱形式,通常也被視作黎曼猜想的核心問題,如果論證這個所謂的朗道-西格爾零點不存在,那麼上千個數學命題將直接晉升爲公理;若零點存在,那麼將與黎曼猜想產生衝突......
![]()
素數
1859年8月,32歲的數學家黎曼,向柏林科學院提交了一篇論文,題目爲“論小於一個給定值的素數的個數”,短短八頁的論文中的猜想成爲後世數學家奮力解決的問題,文中黎曼所探究的問題其實相當相當簡單,只需要小學三年級學生就能看懂,黎曼拋出問題:小於20的素數有多少個?
![]()
答案是8個:2,3,5,7,11,13,17和19。黎曼繼續發問,小於1000的素數有多少個?小於100萬呢?小於10億呢?儘管我們今天的超級計算機輕鬆給出答案,小於1000的有168個素數,小於100萬有78498個,小於10億的有50847534個,數學家高斯則親手統計過300萬以內的素數,但我們依然需要一個普遍的規律或公式,來確定素數的分佈情況。
![]()
黎曼提出了對這個問題的一個猜想,然後附文寫道,“人們當然希望對此有一個嚴格的證明,但是我稍稍做了一些徒勞的嘗試後,便把尋求這樣一個證明的事擱置一邊,因爲它對於我目前的研究工作並不是必需的”,恰恰是這個不算太起眼的猜測,成爲數學界最重要的謎題,這個猜測日後被稱爲“黎曼假設”/“黎曼猜想”。
![]()
素數定理
討論素數,我們很容易發現自然數越靠後的數字,素數出現的頻率似乎越低,經過簡單統計,1到100之間有25個質數;401到500之間有17個;901到1000只有14個;像這樣每隔100個整數取一次,一直列到10000億,最後一組百數段裏僅有4個素數。如果這樣一直到萬億萬億萬億萬億,最後在某一個地方之後素數會不存在嗎?
![]()
這個問題早在公元前300年,歐幾里得就已經給出了相當完備的證明,他認爲素數永遠不會稀疏到沒有,即沒有最大的素數——素數無限定理,歐幾里得假設從p1開始一直到pn均爲素數,最大的素數爲pn,構造一個s = (p1 x p2 x p3 x ... x pn) + 1 的數,若s爲素數,那麼s>pn與假設矛盾,若s並非素數,那麼s不能被已知最大的素數整除,同樣矛盾。
![]()
已知素數有無窮多個,再來考慮素數的分佈問題,上面我們用π(N)來表示“小於(等於)N的素數個數”,再簡單用N/π(N),得到了一組似乎是以7爲公差的等差數列,這僅僅是巧合嗎?我們再將對數log N對比列出來,可以發現,當N越大的時候,N/π(N)越接近log N。
![]()
黎曼ζ函數
有了這一發現後,我們按照歐拉使用的數學符號得到上面的素數定理,接下來的內容則涉及到高數/數分,我們從調和級數開始入手,調和級數可以簡單理解爲調和數列(各項倒數爲等差數列的級數)各元素之和,可以通過Cauchy判別法判斷,所有調和級數都是發散的(Divergent)。
![]()
原本的調和級數如下式,即1,2,3,....各項倒數所成的數列,我們繼續推廣,1,2,3,....平方的倒數所組成的數列,即級數1+1/4+1/9+1/16+...,歐拉給出了極限爲π^2/6,即自然數平方倒數之和等於π^2/6,每一個初次看到這個證明的人都會爲數學的神奇震驚不已,我們繼續推而廣之。
![]()
將調和級數推廣到下面的ζ函數(Zeta Func),上面自然數平方倒數之和可以理解爲ζ(2),上面第一段的調和級數ζ(1)→∞,歐拉繼續證明ζ(2)=π^2/6,最終在1737年發現歐拉乘積公式,初步探究到ζ函數與素數存在某種關係,黎曼進一步思考,如果ζ函數里的s均爲素數呢?
![]()
黎曼猜想
黎曼研究的領域極廣,同時也是複分析的創始人之一,他發現如果從複平面上思考Zeta函數,會出現很有意思的變化。複平面上X軸對應實部,Y軸對應虛部,將複數輸入ζ函數,發現僅有在實部大於1的情況下級數才收斂。原有的ζ函數只滿足實部 Re(s) > 1的情況,黎曼於是進行了“解析延拓”。
![]()
這部分的可視化可以參考3B1B的視頻,黎曼對歐拉的ζ函數進一步推廣到複平面,即填補Re(s) < 1的函數,使得黎曼ζ函數同時符合歐拉常規的s與複平面上的s,下圖中左半部分即爲解析延拓的可視化,它們不是被求和算出來的,而是通過解析延拓證明出來,且具有唯一性,當s=-1時,我們可以得出ζ(-1)=-1/12(注:該式非自然數和)。
![]()
有了以上基礎,我們推導出黎曼ζ函數滿足以下代數關係式,我們發現當S=-2n時ζ爲零,我們將其稱爲黎曼ζ 函數的零點,這一部分零點分佈有序,我們將其稱爲平凡零點 (trivial zero),其他零點則稱爲非平凡零點,黎曼給出猜想是,黎曼ζ函數的所有非平凡零點,都位於複平面上 Re(s)=1/2 的直線上,即實部=1/2的軸上,換句話說,方程ζ(s)=0的解的實部都是1/2。
![]()
朗道-西格爾零點猜想
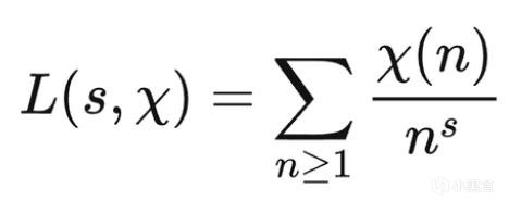
黎曼猜測Zeta函數所有非平凡零點都在實部1/2的直線上,此後多位數學家在黎曼ζ 函數的基礎上不斷打“補丁”,到了十九世紀,數學家狄利克雷引入L函數,相信很多人都聽說過狄利克雷定理,即對於任意互質的正整數a,d,有無限多個形式如a+nd的素數。
![]()
於是描述狄利克雷L函數的黎曼猜想被稱作廣義黎曼猜想(GRH),原問題從黎曼ζ 函數非平凡零點都在實部1/2的直線,變成L函數的非平凡零點都位於1/2直線上,西格爾給出ξ函數數值的計算方法,他與老師朗道一起發現了L函數理論中的零點現象,並且確定非平凡零點基本上落在類沙漏的區域,此前Atiyah爵士曾自稱證明了黎曼猜想,而張益唐在07年曾給出過L函數非平凡零點的下界估計。
![]()
但當時的理論還存在瑕疵,於是張益唐13年在孿生素數方向取得突破性研究,確立了存在無窮多差小於7000萬的素數對,有了這一基礎,22年的菲獎得主詹姆斯·梅納德對孿生素數繼續進行優化;今天張益唐的新論文也是拋出了L函數在1處的下界(log D)^(-2022),這裏-2022也相當具有代表意義,如果方法成行,那麼有機會像孿生素數那樣繼續優化,直到L函數要求的-1。
![]()
機器學習基礎:
AI學術巨佬——何愷明,從遊戲中獲得論文靈感
AI領軍人物——孫劍,重劍無鋒的經典之作
機器學習入門——數學基礎(積分篇)
機器學習入門——數學基礎(代數篇)
機器學習入門——數學基礎(貝葉斯篇)
遊戲&AI系列:
賽博朋克——敏捷開發能挽救CDPR的口碑嗎?
巫師三——AI如何幫助老遊戲畫質重獲新生
AI女裝換臉——FaceAPP應用和原理
AI捏臉技術——你想在遊戲中捏誰的臉?
Epic虛幻引擎——“元人類生成器”遊戲開發(附教程)
腦機接口——特斯拉、米哈遊的“魔幻未來技術”
白話科普——Bitcoin到底是如何誕生的?
永劫無間——肌肉金輪,AI如何幫助玩家捏臉?
GTA6黑客——R星自導自演營銷?無稽之談!
論文相關:
畢業季雜談——如何隨時免費使用中國知網?
畢業季雜談——論文降重的“奇技淫巧”
畢業季雜談——大學教材如何獲取
畢業論文——Latex論文排版語言介紹
更多遊戲資訊請關註:電玩幫遊戲資訊專區
電玩幫圖文攻略 www.vgover.com
